近日,林学与风景园林学院吴永彬教授团队在国际期刊Ecological Indicators(中科院一区TOP期刊,影响因子7.4)发表学术论文,这是继2024年在Frontiers in Plant Science(中科院二区TOP期刊)发表关于外来入侵植物的重要研究成果。这两项研究系统揭示了两大恶性入侵植物——银胶菊(Parthenium hysterophorus)和肿柄菊(Tithonia diversifolia)的入侵历史、扩散机制与未来风险,为全国乃至全球区域尺度的入侵物种早期预警与精准防控提供了重要的科学依据与实践指导。
研究一:重建银胶菊(Parthenium hysterophorus)中国入侵历史与风险格局

银胶菊(P. hysterophorus)原产于美洲,自20世纪30年代传入我国以来,已迅速扩散至多个省份,对农业生产、生态系统功能、生物多样性乃至人畜健康构成严重威胁。作为我国《重点管理外来入侵物种名录》中的重点管控对象,银胶菊的入侵动态与潜在适生区亟待系统评估。然而,以往研究多聚焦于其当前分布,对其入侵历史、扩散路径及未来气候变化下的动态响应缺乏深入探讨。本研究通过重建银胶菊在我国的入侵历史与扩散路径,并结合优化后的MaxEnt模型,全面评估其在当前及未来气候变化情景下的潜在分布格局与入侵风险。

图1 银胶菊(P. hysterophorus)的全球地理分布
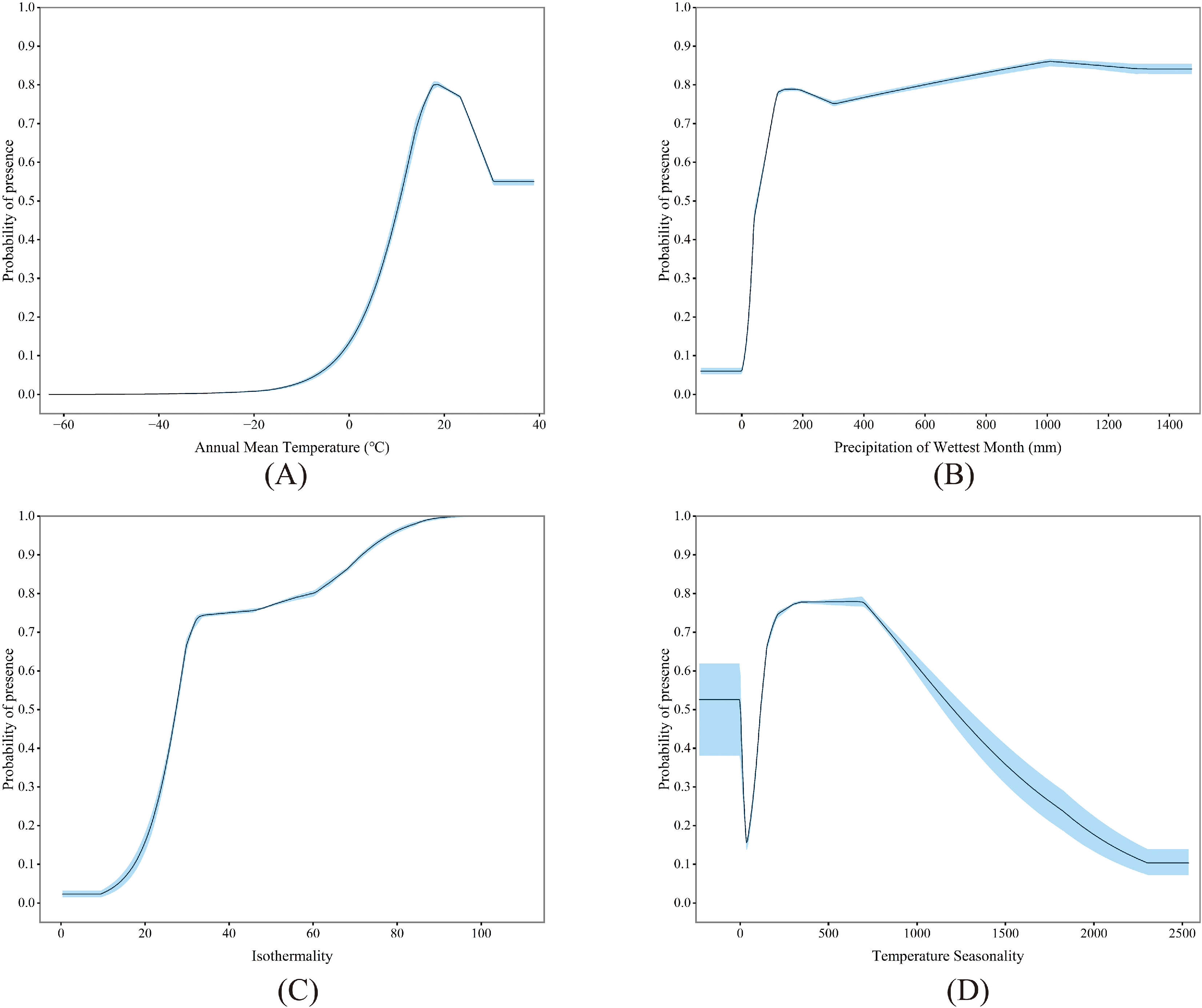
研究结果表明,银胶菊(P. hysterophorus)的扩散过程具有明显的空间格局特征,且人类活动对其在我国境内的传播具有重要影响。此外,环境变量中,年均温(bio1)和最湿月降水量(bio13)是影响银胶菊潜在分布的主导因子。在当前气候条件下,我国东南部是银胶菊最主要的潜在入侵区域;随着气候变化,其潜在分布区将向更高纬度地区扩展。森林与农田生态系统受银胶菊入侵影响尤为显著,应优先对其开展持续监测并强化管理,采取主动防控措施对遏制银胶菊进一步扩散与入侵至关重要。

图2 重要环境变量bio1(a), bio13(B), bio3(C), and bio4(D)

图3 银胶菊在九种不同未来气候条件下的潜在分布

图4 不同气候变化情景下银胶菊适宜区域的变化

图5 银胶菊入侵风险在农田、森林、草原及城市土地的分布情况
从国家尺度深入解析单一入侵物种的扩散历史与风险格局之后,该团队进一步将研究视野拓展至全球尺度,系统揭示了另一恶性入侵植物肿柄菊(T. diversifolia)在全球气候变化背景下的入侵格局与扩散潜力。
研究二:全球尺度揭示肿柄菊(Tithonia diversifolia)入侵格局与扩散潜力

生物入侵已成为全球生物多样性面临的最严峻威胁之一,而气候变化的加剧进一步放大了这一风险。肿柄菊(T. diversifolia)原产于墨西哥及中美洲,因其极强的适应性和扩散能力,现已入侵至全球70多个国家和地区(图1),对当地生态系统、农业生产乃至社会经济造成了严重影响。准确预测其在未来气候条件下的潜在分布和扩散动态,是制定有效防控策略的科学基础。该研究通过整合生态位动态、物种分布模型与扩散模型,首次在全球尺度上评估了肿柄菊在全球气候变化背景下的入侵格局与未来风险,为外来入侵物种的早期预警和精准管理提供了全新的理论框架。

图1 肿柄菊(T. diversifolia)的全球地理分布
研究证实,肿柄菊(T. diversifolia)在入侵过程中整体表现出强烈的生态位保守性,仅向更干燥、更高海拔以及更高人类干扰的区域有限扩张。基于全球分布数据构建的物种分布模型,其预测准确性显著优于仅基于原产地或入侵地数据的模型,能更全面地捕捉物种的生态耐受性。未来气候情景下,肿柄菊的全球总体适宜生境面积将呈减少趋势,仅在中国南部、东南亚及中美洲等分布区边缘地带出现碎片化扩张,并向中高纬度地区移动。扩散模型模拟结果显示,即便存在较强扩散障碍,在不同扩散情景下其占据面积仍可扩张40倍以上,表明其入侵潜力主要由气候适宜性和自身扩散能力驱动,当前的实际分布远未达到饱和。

图2 原产地与入侵地环境因子的核密度曲线

图3 基于COUE框架的生态位对比分析

图4 基于NDH框架的六维超体积对比

图5 不同数据集校准下的潜在生境适宜性

图6 未来气候情景下肿柄菊分布范围的二值变化图
林学与风景园林学院博士研究生郑会森为论文第一作者,吴永彬教授为通讯作者。研究得到了国家重点研发计划(2024YFF1307500、2023YFF0805800和2022YFF1301400)、中国科学院国际重大挑战合作计划(073GJHZ2023091GC)、国家自然科学基金(U21A20192)以及国家公园建设资金(F25082)等项目的联合资助。
相关论文链接:https://doi.org/10.3389/fpls.2024.1430576
https://doi.org/10.1016/j.ecolind.2026.114614
文图/林学与风景园林学院

